LeetCode 25. Reverse Nodes in k-Group
Linked List
Given a linked list, reverse the nodes of a linked list k at a time and return its modified list.
k is a positive integer and is less than or equal to the length of the linked list. If the number of nodes is not a multiple of k then left-out nodes, in the end, should remain as it is.
Follow up:
Could you solve the problem in
O(1)extra memory space?You may not alter the values in the list's nodes, only nodes itself may be changed.
Example 1:
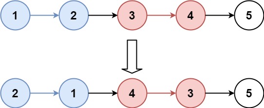
Input: head = [1,2,3,4,5], k = 2
Output: [2,1,4,3,5]Example 2:
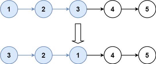
Input: head = [1,2,3,4,5], k = 3
Output: [3,2,1,4,5]Example 3:
Input: head = [1,2,3,4,5], k = 1
Output: [1,2,3,4,5]Example 4:
Input: head = [1], k = 1
Output: [1]Constraints:
The number of nodes in the list is in the range
sz.1 <= sz <= 50000 <= Node.val <= 10001 <= k <= sz
Solution:
/**
* Definition for singly-linked list.
* struct ListNode {
* int val;
* ListNode *next;
* ListNode(int x) : val(x), next(NULL) {}
* };
*/
class Solution {
int length(ListNode* head) {
int len = 0;
while (head != nullptr) {
head = head->next;
len++;
}
return len;
}
ListNode* dfs(ListNode* head, int len, int k) {
if (len < k) {
return head;
}
ListNode* tail = head;
ListNode* prev = nullptr, *tmp = nullptr;
for (int i = 0; i < k; i++) {
tmp = head->next;
head -> next = prev;
prev = head;
head = tmp;
}
tail->next = dfs(head, len - k, k);
return prev;
}
public:
ListNode* reverseKGroup(ListNode* head, int k) {
return dfs(head, length(head), k);
}
};Last updated
Was this helpful?