LeetCode 1761. Minimum Degree of a Connected Trio in a Graph
You are given an undirected graph. You are given an integer n which is the number of nodes in the graph and an array edges, where each edges[i] = [ui, vi] indicates that there is an undirected edge between ui and vi.
A connected trio is a set of three nodes where there is an edge between every pair of them.
The degree of a connected trio is the number of edges where one endpoint is in the trio, and the other is not.
Return the minimum degree of a connected trio in the graph, or -1 if the graph has no connected trios.
Example 1:
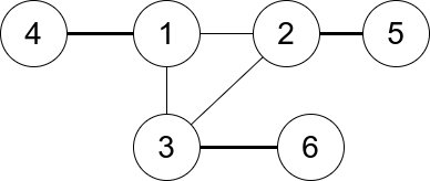
Input: n = 6, edges = [[1,2],[1,3],[3,2],[4,1],[5,2],[3,6]]
Output: 3
Explanation: There is exactly one trio, which is [1,2,3]. The edges that form its degree are bolded in the figure above.Example 2:
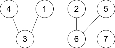
Input: n = 7, edges = [[1,3],[4,1],[4,3],[2,5],[5,6],[6,7],[7,5],[2,6]]
Output: 0
Explanation: There are exactly three trios:
1) [1,4,3] with degree 0.
2) [2,5,6] with degree 2.
3) [5,6,7] with degree 2.Constraints:
2 <= n <= 400edges[i].length == 21 <= edges.length <= n * (n-1) / 21 <= ui, vi <= nui != viThere are no repeated edges.
Solution1:
class Solution {
public:
int minTrioDegree(int n, vector<vector<int>>& edges) {
vector<unordered_set<int>> graph(n+1);
for (const vector<int>& edge : edges) {
graph[edge[0]].insert(edge[1]);
graph[edge[1]].insert(edge[0]);
}
int ans = INT_MAX;
for (int i = 1; i <= n; i++) {
const unordered_set<int>& neighbors = graph[i];
int tmp_a = graph[i].size() - 2;
if (tmp_a >= ans) {
continue;
}
for (int b : neighbors) {
int tmp_b = tmp_a + graph[b].size() - 2;
if (b < i || tmp_b >= ans) {
continue;
}
for (int c : graph[b]) {
if (neighbors.count(c) > 0) {
ans = min(ans, tmp_b + (int)graph[c].size() - 2);
}
}
}
}
return ans == INT_MAX? -1 : ans;
}
};Solution2:
class Solution {
public:
int minTrioDegree(int n, vector<vector<int>>& edges) {
vector<vector<bool>> graph(n+1, vector<bool>(n+1, false));
vector<int> degree(n+1, 0);
for (const vector<int>& edge : edges) {
graph[edge[0]][edge[1]] = true;
graph[edge[1]][edge[0]] = true;
degree[edge[0]]++;
degree[edge[1]]++;
}
int ans = INT_MAX;
for (int i = 1; i <= n; i++) {
if (degree[i] < 2) continue;
int tmp_a = degree[i] - 2;
if (tmp_a >= ans) continue;
for (int j = i + 1; j <= n; j++) {
if (degree[j] < 2) continue;
if (graph[i][j] == false) continue;
int tmp_b = tmp_a + degree[j] - 2;
if (tmp_b >= ans) continue;
for (int k = j + 1; k <= n; k++) {
if (degree[k] < 2) continue;
if (graph[j][k] == false || graph[i][k] == false) {
continue;
}
ans = min(ans, tmp_b + degree[k] - 2);
}
}
}
return ans == INT_MAX? -1 : ans;
}
};PreviousLeetCode 1760. Minimum Limit of Balls in a BagNextLeetCode 1764. Form Array by Concatenating Subarrays of Another Array
Last updated
Was this helpful?