LeetCode 1791. Find Center of Star Graph
There is an undirected star graph consisting of n nodes labeled from 1 to n. A star graph is a graph where there is one center node and exactly n - 1 edges that connect the center node with every other node.
You are given a 2D integer array edges where each edges[i] = [ui, vi] indicates that there is an edge between the nodes ui and vi. Return the center of the given star graph.
Example 1:
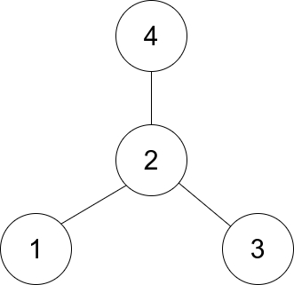
Input: edges = [[1,2],[2,3],[4,2]]
Output: 2
Explanation: As shown in the figure above, node 2 is connected to every other node, so 2 is the center.Example 2:
Input: edges = [[1,2],[5,1],[1,3],[1,4]]
Output: 1Constraints:
3 <= n <= 105edges.length == n - 1edges[i].length == 21 <= ui, vi <= nui != viThe given
edgesrepresent a valid star graph.
Solution
class Solution {
public:
int findCenter(vector<vector<int>>& edges) {
if (edges[0][0] == edges[1][0] || edges[0][0] == edges[1][1]) {
return edges[0][0];
} else {
return edges[0][1];
}
}
};PreviousLeetCode 1790. Check if One String Swap Can Make Strings EqualNextLeetCode 1792. Maximum Average Pass Ratio
Last updated
Was this helpful?