LeetCode 24. Swap Nodes in Pairs
Linked List
Given a linked list, swap every two adjacent nodes and return its head.
Example 1:
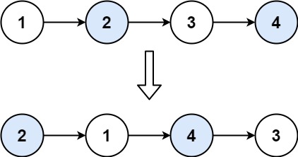
Input: head = [1,2,3,4]
Output: [2,1,4,3]Example 2:
Input: head = []
Output: []Example 3:
Input: head = [1]
Output: [1]Constraints:
The number of nodes in the list is in the range
[0, 100].0 <= Node.val <= 100
Follow up: Can you solve the problem without modifying the values in the list's nodes? (i.e., Only nodes themselves may be changed.)
Solution:
class Solution {
public:
ListNode* swapPairs(ListNode* head) {
if (head == nullptr || head->next == nullptr) {
return head;
}
ListNode* new_head = head->next;
head->next = swapPairs(new_head->next);
new_head->next = head;
return new_head;
}
};Last updated
Was this helpful?