LeetCode 1836. Remove Duplicates From an Unsorted Linked List
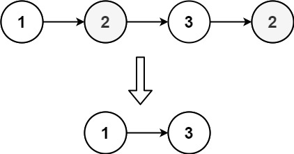
Input: head = [1,2,3,2]
Output: [1,3]
Explanation: 2 appears twice in the linked list, so all 2's should be deleted. After deleting all 2's, we are left with [1,3].Input: head = [2,1,1,2]
Output: []
Explanation: 2 and 1 both appear twice. All the elements should be deleted.Input: head = [3,2,2,1,3,2,4]
Output: [1,4]
Explanation: 3 appears twice and 2 appears three times. After deleting all 3's and 2's, we are left with [1,4].Solution
PreviousLeetCode 1835. Find XOR Sum of All Pairs Bitwise ANDNextLeetCode 1837. Sum of Digits in Base K
Last updated


