LeetCode 1766. Tree of Coprimes
DFS
There is a tree (i.e., a connected, undirected graph that has no cycles) consisting of n
nodes numbered from 0
to n - 1
and exactly n - 1
edges. Each node has a value associated with it, and the root of the tree is node 0
.
To represent this tree, you are given an integer array nums
and a 2D array edges
. Each nums[i]
represents the ith
node's value, and each edges[j] = [uj, vj]
represents an edge between nodes uj
and vj
in the tree.
Two values x
and y
are coprime if gcd(x, y) == 1
where gcd(x, y)
is the greatest common divisor of x
and y
.
An ancestor of a node i
is any other node on the shortest path from node i
to the root. A node is not considered an ancestor of itself.
Return an array ans
of size n
, where ans[i]
is the closest ancestor to node i
such that nums[i]
and nums[ans[i]]
are coprime, or -1
if there is no such ancestor.
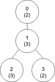
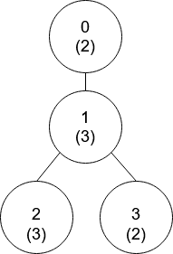
Example 1:

Input: nums = [2,3,3,2], edges = [[0,1],[1,2],[1,3]]
Output: [-1,0,0,1]
Explanation: In the above figure, each node's value is in parentheses.
- Node 0 has no coprime ancestors.
- Node 1 has only one ancestor, node 0. Their values are coprime (gcd(2,3) == 1).
- Node 2 has two ancestors, nodes 1 and 0. Node 1's value is not coprime (gcd(3,3) == 3), but node 0's
value is (gcd(2,3) == 1), so node 0 is the closest valid ancestor.
- Node 3 has two ancestors, nodes 1 and 0. It is coprime with node 1 (gcd(3,2) == 1), so node 1 is its
closest valid ancestor.
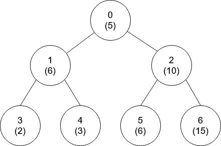
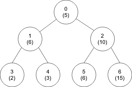
Example 2:

Input: nums = [5,6,10,2,3,6,15], edges = [[0,1],[0,2],[1,3],[1,4],[2,5],[2,6]]
Output: [-1,0,-1,0,0,0,-1]
Constraints:
nums.length == n
1 <= nums[i] <= 50
1 <= n <= 105
edges.length == n - 1
edges[j].length == 2
0 <= uj, vj < n
uj != vj
Solution:
class Solution {
void dfs(int node, const vector<int>& nums, const vector<vector<int>>& graph,
vector<int>& result,
map<int, pair<int, int>>& ancestors /*value, {node, depth}*/,
int depth, int parent) {
int closest_ancestor = -1;
int distance = INT_MAX;
for (const auto& pair : ancestors) {
if (__gcd(nums[node], pair.first) == 1 && (depth - pair.second.second) < distance) {
distance = depth - pair.second.second;
closest_ancestor = pair.second.first;
}
}
result[node] = closest_ancestor;
bool has_original_node = (ancestors.count(nums[node])) > 0;
pair<int, int> original_node = ancestors[nums[node]];
ancestors[nums[node]] = {node, depth};
for (int neighbor : graph[node]) {
if (neighbor == parent) {
continue;
}
dfs(neighbor, nums, graph, result, ancestors, depth + 1, node);
}
ancestors.erase(nums[node]);
if (has_original_node) {
ancestors[nums[node]] = original_node;
}
}
public:
vector<int> getCoprimes(vector<int>& nums, vector<vector<int>>& edges) {
int n = nums.size();
vector<vector<int>> graph(n);
for (const vector<int>& edge : edges) {
graph[edge[0]].push_back(edge[1]);
graph[edge[1]].push_back(edge[0]);
}
map<int, pair<int, int>> ancestors;
vector<int> result(n, -1);
dfs(/*node=*/0, nums, graph, result, ancestors, /*depth=*/0, /*parent=*/-1);
return result;
}
};
Last updated
Was this helpful?